Web Analytics
50+ Training Reimbursement Agreement Gif

50+ Training Reimbursement Agreement Gif

I signed a contract in nov.

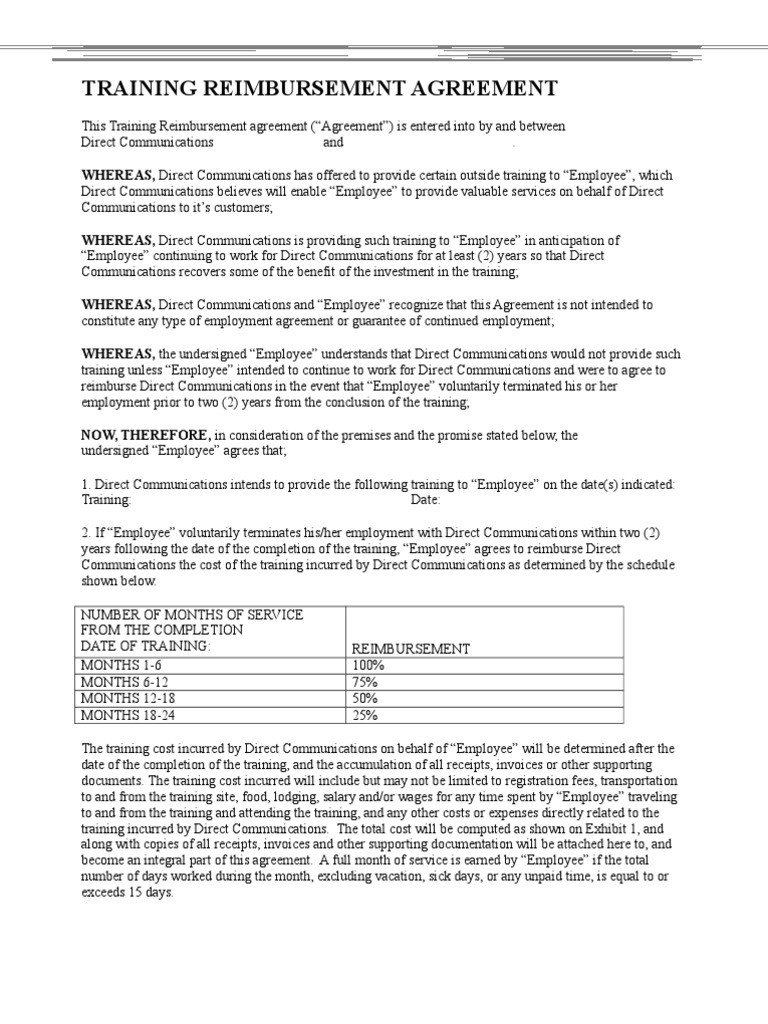
50+ Training Reimbursement Agreement Gif. 2013 for 3 months of training, provided i work for 3 years from the end of training. This training reimbursement agreement (agreement) is entered into by and between direct communications and.

Workforce Investment Act Youth Employment And Training Program
Workforce Investment Act Youth Employment And Training Program from image.slidesharecdn.com
Reimbursement recommended (if applicable) total 3. Why and how to take advantage of your employee benefit. This is in regards to training reimbursement contracts in the state of illlinois.

A reimbursement agreement is a deal between two parties to repay one party for costs undertaken these agreements are often used when a company wants an employee to attend a training class or.

The employing nhs trust is responsible for providing eligibility and reimbursement of relocation expenses. I signed a contract in nov. The tuition reimbursement program provides city employees with funds for professional development. No employer policy is complete without employees' acknowledgment.